Descomposición aditiva del índice de Gini por subgrupos: Asignación del efecto solapamiento a los componentes intra e intergrupos
- INTRODUCCIÓN
La descomposición de los índices que miden la desigualdad de una población a partir de la desigualdad dentro y entre las subpoblaciones que la conforman resulta una característica muy deseable. La descomposición permite comprobar que una misma desigualdad global puede estar determinada por realidades muy diferentes en las subpoblaciones, y además permite, ante un cambio en la desigualdad de la distribución global, identificar la parte que se debe a las modificaciones de la desigualdad entre los subgrupos y dentro de los mismos.
La búsqueda de la descomposición de los índices de desigualdad es recurrente en la literatura, tratando de lograrla de manera aditiva desde Bourguignon, (1979) y Shorrocks, (1980). La descomponibilidad aditiva requiere que la desigualdad total sea resultado de sumar la desigualdad intragrupos e intergrupos, donde el componente intragrupos debe resultar de la ponderación de la desigualdad de cada subgrupo por su tamaño poblacional, y el componente intergrupos debe depender explícitamente de la distancia entre la media de los grupos y el tamaño de los grupos (Attili, (2024)).
El índice de Gini se consideraba tradicionalmente no aditivamente descomponible en la suma de un término intragrupos y otro intergrupos, ya que para obtener el valor de la desigualdad global había que añadir un componente adicional de carácter residual, dependiente del grado de solapamiento entre los grupos (Deutsch and Silber, (1999)). Desde la formulación de Lambert and Aronson (1993) que equipara el solapamiento a un término residual, es posible hallar numerosas referencias dedicadas a obtener reformulaciones del índice de Gini: por ejemplo, Sastry and Kelkar, (1994), Araar, (2006), Arize et al (2014), o más recientemente Heikkuri and Schief, (2024) y Bárcena-Martín and Silber, (2024). Actualmente es posible obtener la desigualdad total como suma exclusivamente de un componente intragrupos y otro intergrupos, aunque no siempre se cuenta con una expresión sencilla en términos de cálculo e interpretación. El presente trabajo trata de ofrecer una explicación de los componentes intra e intergrupos de la descomposición aditiva del índice de Gini que sea fácil de calcular e interpretar.
El objetivo del trabajo es presentar un material docente que permita plantear en términos prácticos la descomposición aditiva del índice de Gini en dos componentes intra e intergrupos, sin dejar un tercer término residual y separando por tanto la influencia del solapamiento en la desigualdad global en sus componentes intra e intergrupos. Para ello se utilizan dos tipos de cálculo: un primer ejemplo simulado de una distribución de cinco observaciones y dos grupos, en el que todas las permutaciones posibles de la misma distribución global se muestran en una hoja de cálculo, con el fin de analizar con detalle las implicaciones de los cambios. Además, se presenta un segundo cálculo de la descomposición de la verdadera distribución de renta de los hogares en España -considerando la agrupación por comunidades y ciudades autónomas-, con el fin de mostrar las diferencias en la interpretación de los resultados cuando se asigna el componente de solapamiento intra e intergrupos en una situación real. En el ejemplo simulado se parte de una distribución global de renta muy sencilla a partir de cinco individuos separados en dos grupos de dos mujeres y tres hombres. Desde una distribución inicial sin solapamiento se realizan las diez permutaciones posibles de las rentas de manera que las cantidades de renta distribuidas sean las mismas (manteniendo constante la desigualdad global) pero modificando los poseedores, variando así la desigualdad dentro de cada grupo, entre los grupos, y el solapamiento. El cambio de todos estos elementos en las distintas permutaciones permitirá una interpretación sencilla de la descomposición exclusiva en componentes intra e intergrupos asignando la parte correspondiente de solapamiento a cada componente. Se ofrece además en el apéndice el código en STATA para llevar a cabo la descomposición. Este ejemplo permite analizar cómo se modifican los distintos elementos de la descomposición del índice de Gini en sus componentes intra e intergrupos, separando además la contribución del solapamiento en cada componente. Para tomar conciencia de la importancia de la asignación correcta del solapamiento en sus componentes intra e intergrupos en la realidad, se realiza el cálculo de la descomposición de la distribución de la renta en el caso español, utilizando 19 grupos (ciudades y CCAA), utilizando la Encuesta de Condiciones de Vida de 2024 (ECV2024).
El trabajo se organiza como sigue: tras esta introducción, el segundo epígrafe muestra las formulaciones de la descomposición del índice de Gini intra e intergrupos mediante la expresión tradicional que considera que el término no incluido como desigualdad intra o intergrupos es un residuo, y la que dota de contenido a dicho residuo a partir de la asignación del solapamiento al componente intra e intergrupos. En el tercer epígrafe se utiliza una distribución simulada sencilla de cinco observaciones, tres hombres y dos mujeres, para explicar de forma intuitiva la contribución del solapamiento intra e intergrupos a la desigualdad global, analizando en el epígrafe cuarto la descomposición intra e intergrupos una vez asignado el efecto solapamiento en todas las permutaciones posibles de la distribución de base. En el quinto epígrafe se presenta la descomposición de la desigualdad de la distribución de renta de los hogares en España (ECV2024) asignando el efecto solapamiento, y se reflexiona sobre el distinto peso de los componentes en función de que el solapamiento sea considerado residual o sea asignado a los componentes intra e intergrupos. El sexto epígrafe concluye, y en el apéndice se presenta el código en STATA para realizar la descomposición a partir de todos sus componentes en el ejemplo simulado.
- SEPARACIÓN DEL COMPONENTE INTRA E INTERGRUPOS DEL SOLAPAMIENTO
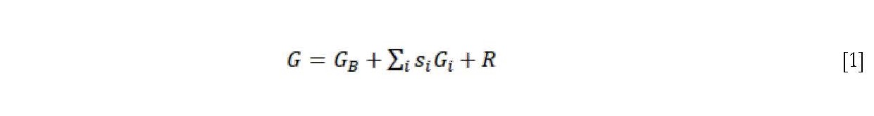
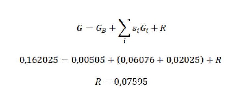
La descomposición “tradicional” del índice de Gini global (G) a partir de la desigualdad entre i grupos y dentro de cada uno de ellos, se obtiene a partir de la suma ponderada (por peso de la renta y la población -si-) de los índices de Gini de cada subgrupo (Gi), más la desigualdad intergrupos GB (asignando la media de cada grupo a todas las observaciones del grupo y ordenando de menor a mayor media). Si no existe solapamiento entre los grupos, es decir si el más rico de un grupo es más pobre que el que menos renta tiene en el grupo siguiente, la suma de estos dos términos sería suficiente. Cuando las distribuciones de renta se solapan, es necesario añadir un término que se denomina residual -R-, pero cuyo peso en el total no es para nada despreciable. El índice de Gini global se obtiene como:
Lambert and Aronson (1993), revisan las distintas interpretaciones del término R, como mero residuo, como área de concentración, como valor esperado de un juego, o como componente de reordenación. Esta última interpretación de Silber, (1989) se desarrolla en Yitzhaki and Lerman, (1991) y Yitzhaki, (1994) para calcularla a partir de los coeficientes de solapamiento de los grupos que conforman la distribución global. Utilizando el concepto de solapamiento para dotar de contenido al término R, Frick et al. (2006), expresan el índice de Gini de la distribución global como la suma de cuatro componentes:
En la expresión [2] aparecen dos elementos nuevos respecto a [1]: Oi y CGB.
Oi es el coeficiente de solapamiento entre cada subgrupo y la distribución global, y se obtiene como:
Así, tomando solamente las rentas (y) de la distribución del subgrupo i, se calcula en el numerador la covarianza entre cada renta y el lugar que ocupan en la distribución total (función de distribución F(y)). Para obtener la covarianza del denominador se toman de nuevo exclusivamente las rentas del subgrupo i, asignándoles un número de orden correlativo creciente al ordenar las rentas de menor a mayor (es decir, que el valor máximo de Fi(y) será el tamaño del subgrupo i). CGB es el cuasi índice de Gini intergrupos, es decir, el índice de concentración obtenido al asignar a cada observación la renta media del grupo al que pertenece, manteniendo la ordenación de partida. Nótese que, al asignar la renta media del grupo, los valores de renta no aparecerán ordenados de menor a mayor.
Combinando las ecuaciones [1[ y [2] se obtiene que:
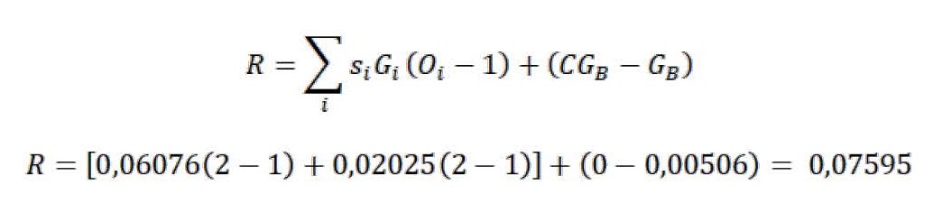
El residuo R contiene la contribución al solapamiento por la vía intragrupos (OW) e intergrupos (OB). Si los sumandos de R se reparten convenientemente, es posible determinar de forma aditiva la parte de la desigualdad global originada por la desigualdad dentro de los grupos y entre los mismos.
Los cálculos realizados en los epígrafes siguientes mostrarán que el componente intragrupos del solapamiento contribuye a incrementar la desigualdad global (ya que siempre es positivo o nulo), mientras que el componente intergrupos del solapamiento reduce la desigualdad global (ya que siempre es negativo o nulo). Estos resultados no son fruto del ejemplo escogido, ni del número de grupos en que se subdivide la distribución total, y son generalizables a cualquier distribución y separación subgrupal. Para entender por qué se puede establecer tal generalización es menester analizar por separado cada componente del solapamiento
El componente de solapamiento intragrupos es Ow=∑i siGi(Oi-1), y siempre toma valor positivo o nulo. Esto es así porque todos los factores que lo componen son positivos o nulos. El factor si es el producto de los pesos poblacionales y de renta. Los pesos poblacionales son no nulos siempre que exista un grupo (haya observaciones dentro de su categoría), y los pesos de renta pueden ser nulos solamente si el grupo no tiene renta alguna, pero nunca negativos. En cualquier caso, el producto de los pesos si es siempre nulo o positivo. El índice de Gini calculado en cada subgrupo Gi toma valor nulo solamente si todos los componentes del grupo tienen la misma renta, pero positivo en cualquier otro caso. El tercer factor del producto del sumatorio es también siempre positivo o nulo, pero nunca negativo. El índice Oi, como se definió en [3], mide el solapamiento entre cada subgrupo y la distribución global. El valor mínimo que puede tomar el cociente de covarianzas es la unidad, lo que ocurre cuando se ocupa el mismo lugar en la distribución global que en la del subgrupo, es decir, cuando no hay solapamiento. En cualquier otro caso, los números de orden asignados en la distribución F(y) serán superiores a los asignados en Fi(y), y el valor del solapamiento Oi superará la unidad[1].
El componente de solapamiento intergrupos OB=CGB-GB es siempre negativo o nulo. Debe recordarse que CGB es el índice de concentración, calculado a partir del doble del área entre la diagonal y curva de concentración calculada asignando a cada observación la renta media de su grupo, y manteniendo la ordenación de la distribución global. Al no presentarse las rentas ordenadas de menor a mayor, la curva de concentración siempre estará por encima de la equivalente curva de Lorenz ordenada, (o coincidirá), y el área hasta la diagonal será siempre menor (o coincidente) con la que se deriva al obtener el índice de Gini GB. Así, se cumple que CGB≤GB. y OB≤0.
El componente de solapamiento se halla presente en la mayoría de las distribuciones por subgrupos que se realizan en la realidad, por ejemplo, por sexo, por situación laboral, por región, o por edad. Únicamente se puede prescindir del mismo cuando la observación más rica de un grupo es más pobre que la más pobre del grupo siguiente, lo que ocurre cuando los grupos se designan por percentiles de renta. Si se desea calcular la desigualdad intra e intergrupos que no están construidos por percentiles, el efecto solapamiento estará presente y es conveniente identificar qué parte de este procede de un solapamiento entre los grupos y qué parte procede del solapamiento dentro de cada grupo.
- SIGNIFICADO DE LOS COMPONENTES DE SOLAPAMIENTO INTRA E INTERGRUPOS
Con el fin de comprender de qué manera afecta la descomposición del residuo R en un componente de solapamiento que se separa convenientemente para formar parte de la desigualdad intra e intergrupos, se toma un ejemplo de una distribución de cinco personas, tres hombres y dos mujeres, entre las que se da algún grado de solapamiento ya que las rentas (10, 12, 15, 20, 22) se asignan al grupo de hombres (H) y mujeres (M) mediante la secuencia (HMHMH). Ello implica que la mujer más rica no es más pobre que el más pobre de los hombres, ni el hombre más rico es más pobre que la más pobre de las mujeres.
Para obtener el coeficiente de solapamiento del grupo de hombres respecto a la distribución total OH, se aíslan las observaciones correspondientes a hombres manteniendo su número de orden en la distribución total:
La covarianza entre Id y Renta (numerador de la ecuación [3]: covH(y, F(y)) es 8.
Para obtener el denominador del coeficiente de solapamiento en el grupo de hombres, así como el índice de Gini del grupo de hombres, es necesario aislar las observaciones correspondientes a hombres y numerar de forma correlativa.
La covarianza entre Id y Renta (denominador de la ecuación [3]: covH(y, FH(y)) es 4.
El coeficiente de solapamiento para el grupo de hombres, OH es 8/4=2.
Aplicando [4] con una renta media en el grupo de hombres de 15,6667, siendo 3 el tamaño del grupo de hombres (NH), el índice de Gini del grupo de hombres GH es 0,17021.
Del mismo modo se opera sobre el grupo de mujeres:
En este caso, la covM(y, F(y)) es 4
Y asignando un identificador correlativo:
se obtiene covM(y, FM(y))=2, por tanto, con NM=2 y una renta media de 16, el índice de Gini del grupo de mujeres GM es igual a 0,125. El coeficiente de solapamiento en el grupo de mujeres respecto a la distribución total resulta del cociente de las covarianzas de la distribución de renta de mujeres manteniendo el orden inicial y ordenando de menor a mayor, así, OM es 4/2=2.
Además del producto de los pesos poblacionales y de la renta en los grupos cuya obtención es obvia (sH=0,5949*0,6=0,357 y sM=0,4051*0,4=0,162) solamente resta obtener los componentes intergrupos.
Para obtener el componente intergrupos tradicional (sin añadir el efecto solapamiento) se calcula el índice de Gini sobre una distribución a la que se le asigna a cada observación la media de su grupo y se ordena de menor a mayor.
La covarianza entre el identificador correlativo en la distribución total de hombres y mujeres y la renta media de cada subgrupo ordenada de menor a mayor es igual a 0,2. Utilizando la expresión [4] el único elemento que varía es la covarianza, pues el número de observaciones (5) y la media de la distribución total (15,8) no varían. Al ordenar la renta media de menor a mayor se obtiene un verdadero índice de Gini, GB, que es igual a 0,00506.
Si el lugar de ordenar las rentas medias de menor a mayor se mantiene el orden de la distribución inicial, la covarianza será diferente y se obtendrá un cuasi Gini, CGB.
La covarianza entre el identificador correlativo y las rentas medias asignadas por subgrupos sin ordenar de menor a mayor, sino respetando su ordenación inicial es nulo, en este caso, por lo que CGB también lo es.
La desagregación que considera el solapamiento como un residuo [1] resulta para la distribución del ejemplo en un efecto residual de solapamiento, R igual a 0,07595, obtenido por diferencia entre el índice de Gini de la distribución total, y la suma de los efectos intra e intergupos calculados de la forma tradicional:
Como se muestra en [3], dicho efecto residual R, debe ser la suma del componente de solapamiento intra e intergrupos
A partir de este sencillo ejemplo es posible interpretar los resultados de la descomposición de la desigualdad global en sus componentes intra e intergrupos considerando que el solapamiento es un residuo, o bien asignando la parte del solapamiento que corresponde a la desigualdad intra e intergrupos. Los valores absolutos y porcentuales del efecto intra e intergrupos separando el solapamiento como un residuo o bien asignándolo de forma separada a la desigualdad intra e intergrupos resulta en los valores de la tabla 1:
Tabla 1. Valor absoluto y porcentual de la desigualdad intra e intergrupos y efecto solapamiento como residuo
Considerar el efecto solapamiento como un residuo (no asignado al efecto intra e intergrupos) lleva a concluir que el componente intragrupos explica un 50% de la desigualdad global, el intergrupos explica un 3%, siendo el residuo un 47%. Sin embargo, la asignación del efecto solapamiento a cada componente implica que la desigualdad total se debe solamente (100%) a la existente dentro de los grupos. Analizando los cambios en la consideración de la desigualdad global que procede de los que ocurre dentro de los grupos de forma separada y entre los grupos, se aprecian dos efectos:
El solapamiento intragrupos (0,08101) es tan importante como la desigualdad intragrupos medida de la forma tradicional (0,08101)
El solapamiento intergrupos (-0,00506) compensa totalmente la desigualdad intergrupos medida de la forma tradicional (0,00506)
Como resultado de la asignación del efecto solapamiento a cada componente, no hay ninguna desigualdad intergrupos (0%), y toda la desigualdad se puede achacar a la distribución dentro de los grupos (100%). En realidad, atendiendo a la idea de desigualdad intergrupos tradicional, que aísla el grupo sin considerar cómo se inserta en la distribución global, se aprecia que la media del subgrupo de hombres y mujeres no es la misma, existe una pequeña diferencia a favor de los hombres (16>15,6667), por ello el índice de Gini tradicional intergrupos es positivo, aunque de pequeña magnitud: GB=0,00506. La desigualdad total debida al efecto intergrupos considerando el solapamiento es nula por el hecho de que la pequeña diferencia entre las medias de los grupos es compensada por el hecho de que el más pobre de un grupo no es más rico que el más rico de otro grupo, es decir, porque los grupos se entrelazan.
Figura 1. Importancia del componente intra e intergrupos según la descomposición utilizada
La figura 1 muestra para el ejemplo utilizado cuán diferente puede ser la importancia otorgada al efecto intra e intergrupos en la explicación de la desigualdad global. Sin asignar el residuo, se concluiría que la desigualdad dentro de los grupos explica la mitad de la desigualdad global, cuando realmente es la causante de toda la desigualdad. Aunque se trata de un ejemplo ilustrativo sencillo, pone de manifiesto cómo la asignación incorrecta de las causas de la desigualdad puede orientar erróneamente las políticas de actuación para disminuir la desigualdad. Es un hecho que el índice de Gini se utiliza de forma extensiva para describir la desigualdad. También se utiliza de forma muy extendida la descomposición [1], pero no la que asigna correctamente el efecto solapamiento a la causa correcta [4], y ello puede orientar de forma errónea las políticas de disminución de la desigualdad orientadas a grupos específicos.
Además de tomar conciencia del error que se produce al no repartir el efecto solapamiento intra e intergrupos, las siguientes líneas ofrecen la interpretación de los incrementos y reducciones en la desigualdad intra e intergrupos al asignarlo.
El efecto solapamiento intragrupos, una vez asignado al efecto tradicional añade peso a la desigualdad causada por este componente. El cálculo tradicional solamente tiene en cuenta la consideración de los grupos por separado, pero obvia el hecho de que cada observación entendida como perteneciente solamente a su grupo cuenta con un número de orden que no coincide con el orden ocupado en la distribución en la que todos los grupos se tienen en cuenta. Añadir el componente intragrupos del solapamiento no genera ningún cambio cuando los grupos se sitúan de forma correlativa sin entrelazarse, en cuyo caso el coeficiente de solapamiento es mínimo e igual a la unidad. Pero en cualquier otro caso, Oi es superior a la unidad, elevando el valor de la desigualdad intragrupos. La interpretación intuitiva de este efecto indica que la desigualdad dentro de los grupos no importa solamente por lo que ocurre en las distribuciones consideradas de forma independiente. Además, hay que tener en cuenta cómo esas distribuciones de cada grupo construyen la distribución total y cuán distantes están los lugares que se ocupan en la distribución independientemente considerada o al tener en cuenta la distribución total. En el ejemplo utilizado, ello equivale a considerar que la mujer más rica ocupa el segundo lugar en el subgrupo de mujeres, pero ocupa la cuarta posición en la distribución total y es relevante tener en cuenta que adelanta dos posiciones en la distribución unida a los hombres. De igual forma, el hombre más rico ocupa la posición tercera en su grupo independiente (con un tamaño de 3), pero es también el más rico en la distribución total y su lugar es el quinto (con un tamaño de 5). Cuando no hay solapamiento y las mujeres cuentan con una renta media inferior a la de los hombres, las mujeres no adelantan posiciones al considerar la distribución total junto a los hombres: si no hay solapamiento no se añade entonces otro componente de desigualdad[2]. Pero si lo hay, el componente solapamiento intragrupos captura una mayor desigualdad por el hecho de que los órdenes ocupados se separan al considerar todos los grupos. Así, medir la desigualdad intragrupos de forma tradicional -obviando el efecto solapamiento intergrupos- siempre infraestima la desigualdad dentro de los grupos (excepto cuando no hay solapamiento), ya que al considerar los grupos por separado y no como parte de una distribución total no se tiene en cuenta la separación en los órdenes ocupados en la distribución del subgrupo y en la distribución total. Por ello, la desigualdad intragrupos es mayor cuanto mayor es el solapamiento entre los mismos.
El efecto solapamiento intergrupos CGB corrige exactamente la desigualdad entre los grupos, ya que a pesar de que las medias de las rentas de hombres y mujeres son diferentes, no existe una polarización de manera que las mujeres se sitúen siempre por debajo de los hombres en la ordenación o los hombres siempre por debajo de las mujeres, sino que la secuencia en la distribución usada como ejemplo es solapada: HMHMH. El componente de solapamiento intergrupos siempre disminuirá la contribución de la desigualdad intergrupos medida de manera tradicional, o como mucho la dejará inalterada. Esto es así porque la única discrepancia entre GB y CGB procede de la diferencia en las covarianzas calculadas en la distribución en la que se asignan las rentas medias de cada grupo, bien ordenadas por su situación inicial, o bien ordenadas de menor a mayor. Las covarianzas serán las mismas si no hay solapamiento, es decir si todos los hombres son más pobres que las mujeres o todas las mujeres más pobres que los hombres, y en ese caso GB iguala a CGB y el componente intragrupos del solapamiento (CGB-GB) que se añade a la desigualdad intergrupos tradicional (GB) es nulo. En cualquier otro caso, GB > CGB ya que GB se calcula sobre una distribución ordenada de menor a mayor, y CGB sobre una desordenada, existiendo una correlación menor entre la posición ocupada y la renta. La interpretación intuitiva de este efecto matemático es que medir la desigualdad intergrupos de forma tradicional -obviando el efecto solapamiento achacable entre los grupos- siempre sobreestima la desigualdad entre los grupos (excepto cuando no hay solapamiento), ya que el efecto de diferencia entre las medias queda corregido por el hecho de que los grupos se entrelacen y no estén totalmente segregados. Es decir, la desigualdad intergrupos es mayor cuanto mayor es la diferencia de medias entre los grupos y también cuanto menor es el solapamiento entre los mismos.
Para entender mejor por qué más solapamiento implica menos desigualdad entre grupos, pero más desigualdad intragrupos se puede pensar en dos situaciones alternativas. Imaginemos una distribución en la que todas las mujeres son más pobres que los hombres, es decir, una segregación total sin solapamiento. Cualquier distribución de renta más mezclada, en la que la renta de hombres y mujeres se entrelazaran sería vista como más igualitaria, es decir, más solapamiento implica menos desigualdad entre los grupos. Pero al mismo tiempo, si en esa misma distribución de mujeres -siempre más pobres que los hombres- la mujer más rica permutase su posición con el hombre más rico, se convertiría en la persona más rica de todos los hombres y mujeres. Habría pasado de ocupar en la distribución de mujeres el ordinal igual al tamaño de la población de mujeres al ordinal igual al tamaño total de la población. Es decir, se habría separado en renta (lo que es considerado por el efecto intragrupos tradicional), pero también en el lugar ocupado en el conjunto, lo que añade un elemento de desigualdad en el subgrupo exclusivo de mujeres que no se considera si se obvia el solapamiento. Por ello, considerar el solapamiento intragrupos implica aumentar la desigualdad debida lo que ocurre dentro de los grupos, porque se tienen en cuenta los cambios en la ordenación del subgrupo respecto al total, algo que en la medición tradicional no se considera porque solamente se atiende al grupo de mujeres y no en cómo se insertan en la distribución global.
- COMPARACIÓN DE LOS EFECTOS EN TODAS LAS PERMUTACIONES POSIBLES
Una vez explicado un caso de forma detallada, exponemos los resultados para las diez distribuciones que se pueden dar considerando todas las permutaciones posibles de la misma distribución total de renta (10, 12, 15, 20, 22) utilizada en el ejemplo del epígrafe anterior en dos grupos (i=2) de 3 hombres (H) y 2 mujeres (M). Con el fin de analizar cómo la desigualdad global puede descomponerse en dos componentes intra e intergrupos asignando convenientemente el solapamiento intra e intergrupos, partimos de una distribución inicial D1 (MMHHH) en la que no se da solapamiento y las mujeres cuentan con menos renta que los hombres, se dan todas las permutaciones posibles hasta D10 (HHHMM), distribución en la que de nuevo no hay solapamiento, pero cualquier hombre cuenta con menos renta que cualquier mujer.
Las diez distribuciones a partir de las permutaciones posibles son las que muestra la tabla 2.
Tabla 2. Permutaciones posibles de la posesión de la misma distribución de renta en manos de tres hombres y dos mujeres
La distribución utilizada como ejemplo en el epígrafe anterior corresponde a D6. La media (m) de la distribución global es 15,8, hay un total N de 5 observaciones, y la covarianza entre el orden ocupado y la renta es 6,4, por lo que el índice de Gini global que se mantiene constante de D1 a D10 en 0,162025:
La desigualdad global es la misma por el principio de anonimato, ya que lo importante es la distribución de las rentas, independientemente de que estén en manos de hombres o de mujeres, pero el distinto reparto de D1 a D10 hace que la desigualdad en el grupo de hombres y mujeres, y entre ambos, sea diferente. También difiere el solapamiento entre los dos grupos. Los valores de los pesos poblacionales son constantes (0,6 para los hombres y 0,4 para las mujeres), pero el peso de la renta en cada subgrupo, la desigualdad intragrupos y los coeficientes de solapamiento, se modifican en cada permutación, y se presentan en la tabla 3.
Tabla 3. Peso de la renta, Gini (Gi), coeficiente de solapamiento (Oi) y SiGi(Oi-1) para hombres y mujeres en cada permutación
Debido a que el ejemplo que se está utilizando cuenta con solamente dos grupos y cinco observaciones, es posible apreciar situaciones que no se observarían en una distribución real. Por ejemplo, en la distribución D1, el hombre más pobre es más rico que la mujer más rica, y en la distribución D10, la mujer más pobre es más rica que el hombre mas rico, lo que implica que, en ambos casos, los índices de solapamiento en el grupo de hombres y mujeres son iguales a la unidad, y el componente de solapamiento intragrupos (última columna de la tabla 3), resulta nulo para ambos grupos[3].
Puede ocurrir también que un grupo no esté solapado y otro sí, por ejemplo, en D4 las dos mujeres se sitúan en los extremos, y en posiciones intermedias los tres hombres aparecen seguidos sin solaparse con mujeres, por lo que el solapamiento es máximo para las mujeres y mínimo para los hombres[4].
Los valores de la desigualdad tradicional intergrupos, así como el cuasi Gini intergrupos se modifican en todas las permutaciones para la distribución total, no para cada subgrupo, como muestra la tabla 4.
Tabla 4. Gini intergrupos (GB), cuasi Gini intergrupos (CGB) y su diferencia (CGB - GB) en cada permutación
La utilización de un ejemplo sencillo permite nuevamente identificar situaciones extremas que rara vez ocurren en distribuciones reales. En este caso el extremo lo proporcionan las distribuciones D4 y D6, que ofrecen un valor nulo del cuasiGini intergrupos. Debe notarse que la distribución de la que deriva un cuasiGini no está ordenada de menor a mayor, por lo que puede aparecer una covarianza nula entre el número de orden y la renta de la distribución. Las covarianzas nulas aparecen bien porque la distribución es constante, lo que implica que no hay desigualdad, o bien porque se produce simetría respecto a la posición de orden intermedia, que es lo que ocurre en D4 y D6. Para que se dé tal simetría, con un ejemplo de ocho observaciones, la distribución será del tipo (x=1,2,3,4,5,6,7,8) e (y=a, b, c, d, d, c, b, a), lo que da lugar a que E(x·y)=E(x)·E(y) y por tanto covar(x,y)=0. Una distribución constante es un caso particular de una simétrica.
Si la descomposición utilizada es [1] los valores y pesos en la desigualdad total del componente intra e intergrupos, así como el solapamiento son los que muestra la tabla 5.
Tabla 5. Valor absoluto y peso de la desigualdad intra e intergrupos y el solapamiento en la desigualdad global. Expresión [1]
Asignando el efecto solapamiento en sus componentes intra e intergrupos, los resultados serían los mostrados en la tabla 6.
Tabla 6. Valor absoluto y peso de la desigualdad intra e intergrupos en la desigualdad global (repartiendo el solapamiento). Expresión [3]
La comparación de los resultados de las tablas 5 y 6 permite comprobar que la descomposición del índice de Gini global mediante las expresiones [1] y [3] solamente coincide para las distribuciones D1 y D10, es decir, cuando no hay solapamiento entre grupos.
La discrepancia del peso asignado al componente intragrupos en la explicación de la desigualdad total repartiendo o no el efecto solapamiento, se muestra en la figura 2.
Tal y como se advirtió en el apartado anterior, la descomposición de la desigualdad total sin asignar el efecto solapamiento siempre infraestima la importancia del efecto de la desigualdad dentro de los grupos en la desigualdad global, excepto en el caso de solapamiento nulo, en que son coincidentes (D1 y D10).
En la figura 3 se presenta la diferencia de la importancia otorgada al componente intergrupos según se incluya o no el efecto solapamiento.
Figura 3. Peso del efecto intergrupos incluyendo (Gini INTERs) o no (Gini INTER) solapamiento
Los resultados de la figura 3, que presentan todas las permutaciones posibles, muestran que la descomposición tradicional que no asigna el efecto solapamiento siempre sobreestima la importancia del efecto de la desigualdad entre los grupos al explicar la desigualdad global, en comparación con la descomposición que sí lo asigna, excepto cuando no hay solapamiento (D1 y D10) en que los resultados son coincidentes.
Analizando exclusivamente el efecto solapamiento en todas las permutaciones y su reparto en componentes intra e intergrupos, la figura 4 evidencia la contribución respectivamente positiva y negativa a la desigualdad global.
Figura 4. Desagregación del solapamiento en componentes intra e intergrupos
La figura 4 muestra una vez más la contribución positiva del componente intragrupos a la desigualdad global y negativa del componente intergrupos.
La descomposición aditiva del índice de Gini presentada en [3] permite asignar el solapamiento en componentes intra e intergrupos que se sumarían a los efectos tradicionales [1]. En la figura 5 se presenta el valor absoluto de cada uno de los componentes (desigualdad intra e intergrupos sin asignar solapamiento y solapamiento intra e intergrupos).
Figura 5. Contribución absoluta a la desigualdad global de los componentes intra e intergrupos tradicionales y la asignación del solapamiento
La figura 6 presenta la misma descomposición de componentes en términos porcentuales.
Figura 6. Contribución porcentual a la desigualdad global de los componentes intra e intergrupos tradicionales y la asignación del solapamiento
Las figuras 5 y 6 permiten mostrar de forma fácilmente comprensible el error que se comete cuando se descompone la desigualdad global medida por el índice de Gini mediante la fórmula tradicional [1] que considera el solapamiento como un residuo. En ese caso se considera desigualdad debida a la distribución dentro de los grupos solamente el componente Gini INTRA (en verde), cuando lo correcto sería añadir Solap INTRA (en rosa), como indica la descomposición mostrada en [3], lo que dota de mayor peso a la distribución dentro de los grupos. Por su parte, el efecto tradicional intergrupos (Gini INTER en naranja) sobreestima la importancia de las diferencias entre los grupos, ya que restar las áreas debidas al solapamiento (Solap INTER en azul).
- DESCOMPOSICIÓN DE LA DESIGUALDAD REGIONAL DE LA RENTA DE LOS HOGARES SEGÚN LA ECV2024: ASIGNACIÓN DEL SOLAPAMIENTO A LOS COMPONENTES INTRA E INTERGRUPOS
Los dos epígrafes anteriores han servido para entender la importancia de los componentes intra e intergrupos -incluyendo el solapamiento- en la determinación de la desigualdad global, cuando la misma distribución global se reparte de forma diferente entre grupos. Para ilustrar la importancia de la interpretación de la descomposición de la desigualdad en una realidad económica concreta, y cómo esta puede influir en la toma de decisiones, se analiza en este epígrafe la descomposición de la desigualdad de la renta de los hogares españoles en 2024, subdividiendo la distribución total en 19 grupos de ciudades y comunidades autónomas. Los datos de la tabla 7 ofrecen algunos resultados necesarios para el cálculo de la descomposición que describen la situación distributiva.
Tabla 7. Peso poblacional, peso de la renta, producto de los anteriores (si), Gini intragrupos (Gi), siGi y su peso, solapamiento (Oi), siGi(Oi-1) y su peso en ciudades y CCAA. ECV2024.
Fuente: Elaboración propia a partir de ECV 2024
Madrid, Cataluña, Valencia y Andalucía presentan los pesos poblacionales y de renta más importantes de toda la distribución, por tanto, los valores de si más elevados. Ello condicionará la influencia de los resultados intragrupo en la determinación de la desigualdad global. Por ejemplo, Cataluña explica el 44,9% de la contribución del componente de desigualdad intragrupos sin considerar solapamiento (SiGi), mientras que Ceuta y Melilla solamente contribuyen con un 0,1% a este componente, a pesar de presentar el índice de Gini más elevado de los 19 grupos (Gi=0,40079 y 0,39948). Si se analiza la importancia del componente intragrupos del solapamiento (Si*Gi*(Oi-1)) -última columna de la tabla 7-, Cataluña aparece nuevamente como el grupo que más contribuye al efecto total, con un 18%, a pesar de que su índice de solapamiento es el más bajo de todas las regiones (Oi=5,0). Melilla, sin embargo, con el índice de solapamiento mayor (Oi=167,9) es el grupo que menos contribuye al efecto solapamiento intragrupos, explicando solamente el 0,9% del mismo.
Para obtener el índice de Gini de la distribución global (G=0,34999) a partir de todos sus componentes, es necesario calcular la contribución intergrupos, y por tanto obtener CGB y GB. El cuasiGini entre grupos se obtiene asignando a cada observación de la distribución la media de la región y sin ordenar de menos a mayor, que resulta ser CGB=0,0146. Esos mismos valores ordenados de menor a mayor sirven para obtener el índice de Gini intergrupos GB=0,07355. Por diferencia entre ambos se obtiene el efecto intergrupos debido al solapamiento CGB - GB=- 0,05892, que tal y como era esperable resulta negativo.
Resumiendo, los resultados de la contribución de cada componente aditivo para obtener la desigualdad global a partir de la distribución regional, según la ECV de 2024 sería la siguiente:
El componente intergrupos contribuye entonces un 4% (21%-17%) a la desigualdad global, mientras que el componente intragrupos contribuye un 96% a la explicación de la desigualdad global (87%+9%). Prácticamente la totalidad de la desigualdad queda explicada por la desigualdad dentro de las regiones, mientras que la desigualdad entre las mismas apenas contribuye a la desigualdad global.
Cuando se utiliza en STATA el comando diginig renta, hgroup(CA) para calcular la desigualdad de la variable renta en los grupos CA, se obtiene un resultado que separa el componente inter e intragrupos (sin incorporar el efecto solapamiento), y un tercer término no asignado de solapamiento de la forma siguiente:
La interpretación de estos resultados puede conducir a una infravaloración de la importancia de la desigualdad intragrupos, que sería tan solo del 9%, explicando la desigualdad intergrupos un 21% de la desigualdad total, y el 70% restante sería un “residuo” debido al solapamiento. Si se prescinde del efecto solapamiento por no asignarlo a sus componentes intra e intergrupos, la importancia del componente intergrupos sería del 71% (0,07355/(0,07355+0,03043)), y del intragrupos del 29% (0,03043/(0,07355+0,03043)). Se puede comprobar que la asignación incorrecta de la importancia de la desigualdad intra e intergrupos puede generar errores de interpretación que hagan conducir las políticas a disminuir las desigualdades entre regiones en lugar de disminuirla dentro de cada territorio.
- CONCLUSIONES
La descomposición de la desigualdad global medida por el índice de Gini en sus componentes intra e intergrupos considera el solapamiento como un residuo. La separación de dicho residuo en sus componentes intra e intergrupos modifica la interpretación de la importancia asignada a cada componente. En particular, en este trabajo se ha mostrado con un ejemplo sencillo, pero con permutaciones exhaustivas que cubren todas las distribuciones subgrupales posibles desde una distribución total constante, que la desagregación tradicional infraestima el efecto intragrupos y sobreestima el intergrupos, excepto en los casos sin solapamiento, en que son coincidentes. Este resultado es generalizable a cualquier ejemplo por el signo positivo (o nulo si no hay solapamiento) del componente solapamiento intragrupos y negativo (o nulo si no hay solapamiento) del componente solapamiento intergrupos. Los efectos en la verdadera distribución de la renta de los hogares en España se calcula subdividiendo en grupos de ciudades y comunidades autónomas los datos de la ECV de 2024. Obviar el efecto solapamiento intergrupos equivale a sobreestimar el efecto de las desigualdades entre los grupos, ya que el componente intergrupos no depende solamente de lo diferente que sean las medias de los subgrupos, también del hecho de que las rentas de los distintos grupos se entrelacen y no ocurra que el más rico de un grupo sea más pobre que el más pobre del siguiente. Esta segregación de grupos añade un elemento de desigualdad que se corrige por la mezcla de los grupos, y solamente en el caso de solapamiento nulo la desigualdad intergrupos no debería ser minorada. Así, el efecto solapamiento intergrupos reduce la desigualdad intergrupos o, dicho de otro modo, la desigualdad intergrupos es mayor cuanto menor es el solapamiento entre los mismos.
Por otro lado, obviar efecto solapamiento intragrupos implica infraestimar la desigualdad dentro de los grupos (excepto cuando no hay solapamiento), ya que al considerar los grupos por separado y no como parte de una distribución total no se tiene en cuenta la separación en los órdenes ocupados en la distribución del subgrupo y en la distribución total. Por ello, la desigualdad intragrupos es mayor cuanto mayor es el solapamiento entre los mismos.
La importancia de una correcta asignación del solapamiento en su componente intra e intergrupos en el índice de Gini deriva de los potenciales errores de diseño de políticas distributivas cuando se considera un mero residuo. El índice de Gini y la descomposición que considera el solapamiento como residuo se utilizan de forma extensiva, lo que conduce a considerar que la desigualdad intragrupos es menor de la real, mientras que la intergrupos queda sobreestimada. La asignación correcta del efecto solapamiento puede orientar mejor al logro de objetivos predeterminados las políticas de disminución de la desigualdad orientadas a grupos específicos.
Anexo I
El presente anexo muestra el código en STATA para calcular la descomposición de la desigualdad intra e intergrupos asignando correctamente el componente de solapamiento. Los cálculos replican los resultados de las diez distribuciones D1 a D10 utilizadas para las descripciones del cuerpo principal del trabajo. Los datos de origen se sitúan en las pestañas nombradas como Paso1 hasta Paso10 de la hoja de cálculo Ejemplos overlap.xlsx
El subíndice `i' se refiere a cada una de las 10 distribuciones, ya que los cálculos se repiten diez veces en un bucle.
* Pasos 1 a 10 con bucle
* Programa para descomponer overlap en Gini INTRA e INTER
capture clear
capture log close
log using "….\Bucle1a10.log", replace
local i = 1
while `i' < 11 {
clear
import excel "…. \Ejemplos overlap.xlsx", sheet("Paso `i'") cellrange(A2:C7) firstrow
gen hombre`i'=1 if Grupo=="H"
replace hombre`i'=0 if Grupo=="M"
* Descomposición total para comprobaciones
diginig Renta, hgroup(hombre`i')
* Gini total
* Covarianza Cov(X, Y) = E(XY) - E(X) * E(Y)
egen mutot`i'=mean(Renta)
egen muId`i'=mean(Id)
gen IdRentatot`i'=Id*Renta
egen muIdRtot`i'=mean(IdRentatot)
gen covtot`i'=muIdRtot`i'-(muId`i'*mutot`i')
gen Ginitot`i'=2*covtot`i'/(_N* mutot`i')
* Solamente hombres H, orden inicial
egen muH`i'=mean(Renta) if hombre`i'==1
egen muIdH`i'=mean(Id) if hombre`i'==1
gen IdRentaH`i'=Id*Renta if hombre`i'==1
egen muIdRH`i'=mean(IdRentaH`i')
gen covH`i'=muIdRH`i'-(muIdH`i'*muH`i')
* Solamente mujeres M, orden inicial
egen muM`i'=mean(Renta) if hombre`i'==0
egen muIdM`i'=mean(Id) if hombre`i'==0
gen IdRentaM`i'=Id*Renta if hombre`i'==0
egen muIdRM`i'=mean(IdRentaM`i')
gen covM`i'=muIdRM`i'-(muIdM*muM`i')
* Renta media y orden inicial. Gbp (no es un Gini, no está ordenado)
gen mu_ov`i'= muH`i' if hombre`i'==1
replace mu_ov`i'=muM`i' if hombre`i'==0
gen IdRentatot_med_ov`i'=Id*mu_ov`i'
egen muIdRtot_med_ov`i'=mean(IdRentatot_med_ov`i')
gen covtot_ov`i'=muIdRtot_med_ov`i'-(muId`i'*mutot`i')
gen cuasiGini_INTER_ov`i'=2*covtot_ov`i'/(_N* mutot`i')
* Renta media y orden de rentas medias, para Gini INTER (_no: no overlap)
sort mu_ov`i'
gen Id_med_no`i'=_n
gen IdRentatot_med_no`i'=Id_med_no*mu_ov`i'
egen muIdRtot_med_no`i'=mean(IdRentatot_med_no`i')
gen covtot_no`i'=muIdRtot_med_no`i'-(muId`i'*mutot`i')
gen Gini_INTER`i'=2*covtot_no`i'/(_N* mutot`i')
gen Gini_INTER_ov`i'=cuasiGini_INTER_ov`i'-Gini_INTER`i'
* Cálculos por subrupos
sort hombre Renta
egen number`i' = rank(Renta), by(hombre)
gen IdH`i'=number`i' if hombre`i'==1
gen IdM`i'=number`i' if hombre`i'==0
* Gini INTRAGRUPOS
* Gini H
egen muIdH_H`i'=mean(IdH`i')
gen IdHRentaH`i'=IdH`i'*Renta
egen muIdRH_H`i'=mean(IdHRentaH`i')
gen covHH`i'=muIdRH_H`i'-(muIdH_H`i'*muH`i')
egen NH`i'=max(IdH`i')
gen GiniH`i'=2*covHH`i'/(NH`i'*muH`i')
* Gini M
egen muIdM_M`i'=mean(IdM`i')
gen IdMRentaM`i'=IdM`i'*Renta
egen muIdRM_M`i'=mean(IdMRentaM`i')
gen covMM`i'=muIdRM_M`i'-(muIdM_M`i'*muM`i')
egen NM`i'=max(IdM`i')
gen GiniM`i'=2*covMM`i'/(NM`i'*muM`i')
* Índices de solapamiento OH y OM
gen Ov_H`i'=covH`i'/covHH`i'
gen Ov_M`i'=covM`i'/covMM`i'
* Pesos poblacionales y de rentas
gen w_R_H`i'=(muH`i'*NH`i')/(mutot`i'*_N)
gen w_R_M`i'=muM`i'*NM`i'/(mutot`i'*_N)
gen w_P_H`i'=NH`i'/_N
gen w_P_M`i'=NM`i'/_N
* Componente INTRA sin overlap
gen Intra_no_H`i'= w_R_H`i' * w_P_H`i' * GiniH`i'
gen Intra_no_M`i'= w_R_M`i' * w_P_M`i' * GiniM`i'
egen Intra_no_h`i'=max(Intra_no_H`i')
egen Intra_no_m`i'=max(Intra_no_M`i')
gen INTRA_no`i'=Intra_no_h`i'+Intra_no_m`i'
* Componente INTRA overlap
gen INtra_ov_H`i'=w_R_H`i' * w_P_H`i' * (Ov_H`i'-1) * GiniH`i'
gen INtra_ov_M`i'=w_R_M`i' * w_P_M`i' * (Ov_M`i'-1) * GiniM`i'
egen Intra_ov_h`i'=max(INtra_ov_H`i')
egen Intra_ov_m`i'=max(INtra_ov_M`i')
gen INTRA_ov`i'=Intra_ov_h`i'+Intra_ov_m`i'
* Obtención del Gini a partir de las cuatro componentes
gen GINI`i'= Gini_INTER_ov`i' + Gini_INTER`i' + INTRA_ov`i' + INTRA_no`i'
keep GINI`i' Gini_INTER_ov`i' Gini_INTER`i' INTRA_ov`i' INTRA_no`i' GiniM`i' GiniH`i' Ov_H`i' Ov_M`i'
sum GINI`i' Gini_INTER_ov`i' Gini_INTER`i' INTRA_ov`i' INTRA_no`i' GiniM`i' GiniH`i' Ov_H`i' Ov_M`i'
local i=`i'+1
}
Notas
[1] Las Tablas 2 y 3 muestran que la situación de no solapamiento se produce para hombres (H) y mujeres (M) en las distribuciones D1 y D10, para H en D4 y para M en D5 y D8.
[2] Para comprender la intuición tras esta idea es necesario recordar que la covarianza entre (1,2,3) y (x,y,z) es la misma que la de (1+k, 2+k, 3+k) y (x,y,z). Por ello, cuando dos grupos están totalmente separados y no se solapan, el numerador y el denominador que sirven para el cálculo del coeficiente de solapamiento [3] son iguales, y dicho coeficiente es la unidad.
[3] En estos dos casos, el solapamiento entre grupos es nulo, lo que tendrá su consecuencia en los valores nulos que se observan en el componente de solapamiento de la tabla 4.
[4] En este caso sí que existe solapamiento entre grupos, por lo que el valor del componente intergrupos en la tabla 4 no será nulo.
REFERENCIAS
Araar, A. (2006). On the Decomposition of the Gini Coefficient: An Exact Approach, with an Illustration Using Cameroonian Data. CIRPEE Working Paper, 06-02.
Arize, A.C., Bakarezos, P., Kasibhatla, K.M., Malindretos, J., Panayides, A. (2014). The Gini coefficient. Decomposition and overlapping, Journal of Advanced Studies in Finance, 1(9), pp. 47-55.
Attili, F. (2024). Uncovering Complexities in Horizontal Inequality: A Novel Decomposition of the Gini Index. Social Indicators Research. 173, pp. 351-376.
Bárcena-Martín, E., and Silber, J. (2024). On the decomposition of the extensions of the Gini index that are based on the ‘metallic’ sequences of number theory. METRON, 82(3), pp. 345-362.
Bourguignon, F. (1979). Decomposable income inequality measures. Econometrica, 47(4), pp. 901-920.
Costa, M. (2016). Overlapping component and inequality decomposition: a simulation study for the Gini index. METRON, 74(2), pp. 193-205.
Deutsch, J. and Silber, J. (1999). Inequality Decomposition by Population Subgroups and the Analysis of Interdistributional Inequality. In: Silber, J. (eds) Handbook of Income Inequality Measurement. Recent Economic Thought Series, vol 71. Springer, Dordrecht.
Frick, J. R., Goebel, J., Schechtman, E., Wagner, G. G. and Yitzhaki, S. (2006). Using Analysis of Gini (ANOGI) for Detecting Whether Two Subsamples Represent the Same Universe: The German Socio-Economic Panel Study (SOEP) Experience. EconStor Open Access Articles and Book Chapters, ZBW - Leibniz Information Centre for Economics, vol. 34(4), pp. 427-468.
Heikkuri, V-M. and Schief, M. (2024). Subgroup Decomposition of the Gini Coefficient: A New Solution to an Old Problem. FIT Working Paper 30.
Lambert, P. and Aronson, R. (1993). Inequality Decomposition Analysis and the Gini Coefficient Revisited, The Economic Journal, 103(420), pp.1221-1227.
Sastry, D. V. S. and U. R. Kelkar (1994). Note on the Decomposition of Gini Inequality. The Review of Economics and Statistics 76(3), pp. 584-586.
Shorrocks, A. F. (1980). The Class of Additively Decomposable Inequality Measures. Econometrica, 48(3), pp. 613-625.
Yitzhaki, S. (1994). Economic distance and overlapping distributions. Journal of Econometrics. 61(1), pp. 147-159.
Yitzhaki, S., Lerman, R. (1991). Income stratification and income inequality. Review of Income and Wealth. 37(3), pp. 313-329.






























